HomeHardwareFeatures
Intel Core i5-11600K reviewFinally a worthy rival to AMD’s Ryzen 5 5600X
Finally a worthy rival to AMD’s Ryzen 5 5600X

However, much like their 10th Gen Comet Lake counterparts before them, Rocket Lake still feels like something of a halfway house for Intel, as they’re also due to be launching their even more advanced 12th Gen Alder Lake chips in the second half of this year.
These will finally move Intel onto their much anticipated 10nm manufacturing process (Rocket Lake is still effectively using a kind of 14nm process, using the same 10nm design as their 10th Gen Sunny Cove laptop CPUs, but back-ported to 14nm), bringing with it even more performance and feature improvements than what we’ve got here with Rocket Lake. The latter is widely expected to include DDR5 RAM support, as well as the even faster PCIe 5.0 standard, but it may also see the introduction of yet another new motherboard socket as a result, making it less easy to upgrade if you buy in now.

In fairness, with widespread support for PCIe 4.0 still in its early stages at the moment, it will probably be a good couple of years yet before Alder Lake’s alleged feature set really comes into its own (not to mention DDR5 RAM and PCIe 5.0 SSD prices becoming even vaguely affordable). From a feature set / future-proofing point of view, then, it’s probably still as good a time as any to upgrade your motherboard and CPU if you feel like your PC could do with a bit of a refresh, particularly now that Rocket Lake is finally on a level playing field with AMD’s Ryzen 5000 series.
For most people, that new CPU upgrade will likely be Intel’s Core i5-11600K, the latest version of their overclockable mid-range gaming chip. Like theCore i5-10600Kbefore it, this is a 6-core, 12-thread processor with a high TDP (or thermal design power) of 125W, so you’ll need to apply decent cooling to get the most out of it. The Core i5-11600K has a slightly lower base clock speed of 3.9GHz compared to the 4.1GHz starting speed of the 10th Gen 10600K, but Intel have raised its maximum Turbo Boost clock speed to 4.9GHz, giving it an extra 100MHz to play with over its predecessor.
That might not sound like much on paper, but Rocket Lake’s architectural improvements have brought some quite impressive gains to its general everyday desktop performance. In the single core test of Cinebench R20, for example, the Core i5-11600K’s score of 578 was 19% faster than its 10th Gen predecessor, while its multicore score of 4093 was 17% faster. These gains only widened when I enabled my RAM’s 4000MHz XMP profile, too, with its single core performance rising to 21% faster than the 10600K, reaching a score of 593, while its multicore speeds rose to 19% faster at 4246.


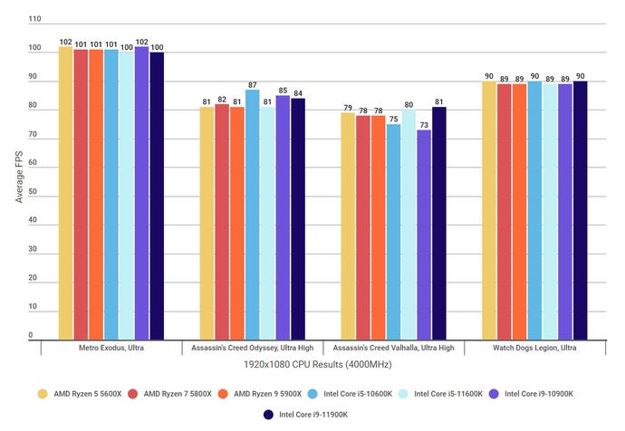
This becomes all the more apparent when you look at the Core i5-11600K’s gaming performance, too. With that 4000MHz XMP profile enabled, the 11600K was able to match the Ryzen 5 5600X pretty much beat for beat in every game in my testing suite, both at 1080p where your PC is most likely to be CPU limited, and at higher resolutions such as 1440p and 4K. I’ve only included my 1080p results for the purpose of this review, though, as this is where your CPU makes the biggest difference. At higher resolutions, it’s your graphics card that’s going to be the limiting factor in your PC’s gaming performance, and even the might of Nvidia’s RTX 2080 Ti still makes any graph just be one big straight line of identical results across the board.


Without that XMP profile, however, the Core i5-11600K fell behind its Ryzen rival, and often wasn’t much faster than its 10th Gen predecessor. The Ryzen 5 5600X, on the other hand, performed more or less equally well regardless of RAM speed, and its lower TDP of just 65W means it doesn’t need such aggressive cooling to hit the same kind of performance levels, either. Indeed, all the Ryzen 5 5600X results mentioned in this review were obtained using its standard AMD Wraith Stealth cooler that comes in the box. My Intel results, on the other hand, were conducted using my rather beefy Corsair iCue H150i RGB Pro XT water cooler.

